|
|
Generales... |
|
|
| TeKton3D / TK-ICA / Menú Datos / Generales... | Ayuda iMventa Ingenieros |
El cuadro de datos generales sirve, como en otros módulos de TeKton3D, para gestionar opciones generales del programa y los valores por defecto para las entidades nuevas. Este cuadro se organiza en cuatro apartados que son:
En este apartado el usuario podrá fijar los materiales que tendrán todas aquellas tuberías en las que no se haya activado la opción Forzar material. El usuario podrá elegir cualquier material contenido en la Bases de datos de Tuberías.
El botón que está a la derecha del nombre o modelo de la tubería abre un cuadro que sirve de asistente para facilitar la selección de tuberías plásticas según su aplicación, material y presión de diseño máxima (ver imagen siguiente).

Este cuadro permite además la elección del modelo de válvula aplicado por defecto a los distintos tipos de válvula. El modelo aquí seleccionado se aplicará a aquellas válvulas que no tengan activada la opción Forzar modelo.
Este cuadro contiene opciones que afectan a los criterios de dimensionado de la instalación y se pueden agrupar en:
Los parámetros que aparecen a continuación establecen limitaciones de cálculo que influirán en el dimensionado del diámetro de todas las tuberías de la instalación que no tengan forzados parámetros de forma particular en sus propiedades.
El cuadro de diálogo de Propiedades de las tuberías tiene una apartado relativo al cálculo en el que se pueden escoger valores particulares o límites de cálculo diferentes a los generales, para que el cálculo de esos tramos se haga según esas consideraciones.
En algunos casos se puede optar por las siguientes dos opciones:
Cuando se establecen varias limitaciones, el capítulo TK-ICA calcula el diámetro correspondiente a cada una de ellas, quedándose con el mayor de todos.

- Donde:
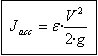
- J = Pérdida de carga, en m.c.a./m;
- D = Diámetro interior de la tubería, en m;
- V = Velocidad media del agua, en m/s;
- ka = Rugosidad uniforme equivalente, en m;
u= Viscosidad cinemática del fluido, (1,31x10-6 m²/s para agua a 10°C)- g = Aceleración de la gravedad, 9,8 m/s².

- Donde:
- J = Pérdida de carga, en m.c.a./m;
- D = Diámetro interior de la tubería, en m;
- Qr = Caudal máximo de cálculo, en m³/s;
- CHW = Coeficiente de Hazen-Williams.

- Donde:
- J = Pérdida de carga, en m.c.a./m;
- f = Factor de fricción;
- Dh = Diámetro interior de la tubería, en m;
- V = Velocidad media del agua, en m/s;
- Re = Número de Reynolds;
- ε = Rugosidad uniforme equivalente, en m.;
r= Densidad del agua, en kg/m³;- g = Aceleración de la gravedad, 9,8 m/s².
Con la fórmula de Prandtl-Colebrook se obtienen mejores resultados. y además admite un rango de regímenes más amplio que con la de Hazen Williams. Sin embargo, tiene como desventaja que hay que resolverla de forma iterativa, por lo que es más lenta y tiene la posibilidad de no converger de forma adecuada.
El cálculo de pérdidas de carga en accesorios puede realizarse de dos maneras:
Para estimar las pérdidas de carga localizadas, el programa utiliza la siguiente expresión:

Los coeficientes de pérdidas de carga localizadas (ε) se extraen de las tablas publicadas por ASHRAE en la edición de 1997 de FUNDAMENTALS.
Las opciones que se encuentran en este apartado son:
Coeficiente de reserva de potencia en unidades terminales (>1): Este coeficiente sirve para dimensionar las redes hidráulicas en base a una potencia superior a la definida en las unidades terminales. Esta potencia de cálculo se obtiene multiplicando el coeficiente de reserva por la potencia de diseño. De este modo se pueden tener en cuenta futuras ampliaciones de la red. Por ejemplo, si se estima una reserva de un 30%, deberemos introducir un coeficiente de 1,30.
Acarrear las simultaneidades aplicadas en las tuberías hasta el generador: Esta opción actúa de forma conjunta a la opción de simultaneidad forzada en la solapa Cálculo del cuadro de propiedades de las tuberías, Forzar simultaneidad:

Esta nueva opción tiene aplicación en circuitos hidráulicos cerrados de cualquier tipo, y permite aplicar la simultaneidad de uso en instalaciones con varios emisores térmicos o baterías de intercambio.
La forma típica de aplicar este sistema consiste en forzar la simultaneidad de los tramos de tuberías justo antes de una bifurcación (según recorrido de ida), de este modo el caudal del tramo será la suma de las dos derivaciones reducido de acuerdo al factor de simultaneidad.
Este caudal reducido se mantiene a lo largo de toda la red, por lo que no es necesario volver a aplicar otro factor de simultaneidad hasta que no se alcance otra derivación.
Es necesario forzar la simultaneidad tanto en las tuberías de ida como en las de retorno. El funcionamiento se muestra en el siguiente ejemplo:

El caudal que se tiene en cuenta para el dimensionado de las tuberías, válvulas, circuladores, etc. es el caudal resultante de aplicar las simultaneidades acarreadas en el sentido de avance hacia el generador térmico. La potencia térmica también se ve afectada por el coeficiente de simultaneidad resultante.
Uniformizar los diámetros de las tuberías y válvulas: Mediante esta opción, TeKton3D comprobará que no se dimensionen las tuberías con diámetros crecientes en el sentido desde el generador térmico hasta las unidades terminales. Esta situación sólo puede darse en tres circunstancias: cuando se aplican factores de simultaneidad muy reducidos, utilizando la opción de dimensionado por capacidad nominal en ramales, o bien si se fuerza diámetros superiores en tramos de tuberías.
Estas opciones son:
Se debe terner en cuenta que si se aplica un factor diferente al 0 %, puede
que se supere en algún caso el valor de diseño de la Limitación de pérdida
de carga lineal y deba comprobarlo en los listados.
Las opciones de este cuadro las podemos agrupar en:
A continuación se describen las opciones de este apartado:
Aislamiento mínimo reglamentario según procedimiento simplificado RITE-2007: Esta opción activa el dimensionado del espesor de aislamiento conforme al procedimiento simplificado de la IT 1.2.4.2.1.2 del RITE 2007.
Este método se basa en la elección de un espesor que depende del diámetro, la temperatura del fluido y la situación de la tubería, de acuerdo con las tablas 1.2.4.2.1 a 1.2.4.2.4; este espesor se refiere al aislamiento con conductividad igual a la de referencia: 0,040 (W/m·K).
Si no se marca esta casilla, el programa
no dimensiona, pero no por ello deja de tener en cuenta las pérdidas térmicas
que se calculan de acuerdo con la norma UNE-EN-ISO 12241. De esta manera,
el usuario podrá plantear el procedimiento alternativo (IT 1.2.4.2.1.3)
fijando unos espesores de aislamiento concretos (solapa
Aislamiento del cuadro de
propiedades de la tubería) y comparar los resultados obtenidos con el espesor
que determina el procedimiento simplificado.
Por otro lado, las tuberías situadas al exterior se aíslarán siempre, sea cual sea el valor de la temperatura del fluido que circula por su interior.
Forzar temperatura máxima del fluido caliente (ºC): Esta opción permiten forzar el valor de la temperatura máxima del fluido a efectos del cálculo del aislamiento térmico conforme a las tablas 1.2.4.2.1 a 1.2.4.1.4 del RITE.
Esta opción es de utilidad, por ejemplo, para forzar el aislamiento en instalaciones de suelo radiante en las que las temperaturas del fluido están por debajo de 40 °C. También puede utilizarse para incrementar el nivel de aislamiento de una instalación y reducir sus pérdidas térmicas, asignando un valor de temperatura que, aunque no se alcance, sí de lugar a espesores mayores en las tablas del RITE.
Forzar temperatura mínima del fluido frío (ºC): Esta opción permiten forzar el valor de la temperatura mínima del fluido a efectos del cálculo del aislamiento térmico conforme a las tablas 1.2.4.2.1 a 1.2.4.1.4 del RITE.
Esta opción es de utilidad, por ejemplo, para forzar el aislamiento en instalaciones de suelo radiante en las que las temperaturas del fluido están por debajo de 40 °C. También puede utilizarse para incrementar el nivel de aislamiento de una instalación y reducir sus pérdidas térmicas, asignando un valor de temperatura que, aunque no se alcance, sí de lugar a espesores mayores en las tablas del RITE.
La red de tuberías está en funcionamiento durante todo el año (se incrementa el espesor del aislamiento térmico en 5 mm): Esta opción debe marcarse cuando la red de tuberías tenga un funcionamiento continuo. Al activar la opción, el espesor de aislamiento calculado según alguno de los procedimientos indicados en el apartado anterior se incrementará en 5 (mm).
Contabilizar las pérdidas térmicas de tuberías situadas en locales calefactados: Esta opción permite ignorar, o no, las pérdidas térmicas en tuberías situadas en el interior de locales acondicionados. La situación de una tubería se define en la solapa Aislamiento del cuadro de propiedades de la misma.
Conductividad térmica del material aislante de tuberías (W/m·ºC): El dimensionado del espesor de aislamiento necesario se hace en base a materiales cuya conductividad sea igual a 0,040 (W/m·K). Si desea emplear otro material, basta con indicar en esta casilla el valor de su conductividad térmica. El cálculo del espesor de aislamiento se sigue realizando exactamente igual, con la diferencia de que el espesor obtenido (dref) con el material de referencia se debe modificar para obtener el espesor con el material considerado (d). Dicha transformación se realiza en base a la ecuación definida en el punto 8 de la IT 1.2.4.2.1.2:
Factor de seguridad en pérdidas térmicas debido a válvulas, bridas,...: Esta opción da la posibilidad de definir un factor de seguridad (en tato por ciento sobre las pérdidas térmicas en las tuberías) para tener en cuenta las que se producen en los elementos de control y accesorios.
Realizar la medición de cada tubería y su aislamiento térmico de forma conjunta: Permite la posibilidad de realizar las mediciones de las tuberías y de su aislamiento térmico de forma conjunta o por separado. En versiones previas a la V.1.5.3.8 siempre se hacía de forma conjunta.
Representar el aislamiento térmico de tuberías en la vista sólida 3D: La exportación a formato IFC de las tuberías se realiza con la misma representación gráfica con que aparecen en TeKton3D, es decir con o sin el espesor del aislamiento térmico, según esté marcada o no la opción anterior.

El dimensionado de la red hidráulica puede realizarse de una de las tres maneras siguientes:

En el caso de instalaciones de suelo radiante,
este primer método intenta que emitan la Potencia térmica de diseño y, si no
la alcanzan, aparecen las correspondientes advertencias.
El segundo y tercer método (ver más abajo) funcionan del mismo modo pero no emiten advertencias, ya que se han dimensionado los circuitos para la máxima potencia y es esa la que están dando (aunque no alcance a la de diseño), como si se hubiera elegido una máquina de una potencia definida en catálogo.

Forzar concentración de anticongelante (%): Este compuesto se añade al agua del circuito hidráulico para reducir su punto de congelación y evitar la congelación del agua, lo que provocaría la rotura de las tuberías. El compuesto usado más comúnmente es el Glicol etilénico o Etilenglicol. Es necesario conocer el porcentaje que se añade al agua ya que varían sus propiedades físicas. Este parámetro afecta directamente a la viscosidad del fluido, aumenta las pérdidas de carga y por tanto la presión de los circuladores. También puede modificar el coeficiente de dilatación del agua y con ello aumentar el tamaño del vaso de expansión.
Forzar las propiedades físicas del fluido: Si el fluido que circula por las tuberías es diferente al agua, con o sin anticongelante, se puede dimensionar la instalación introduciendo las propiedades físicas del fluido como: temperatura del fluido (frío y caliente) y viscosidad y densidad a esas temperaturas.

Las opciones disponibles en este otro apartado son:
Aplicar requisitos y realizar comprobaciones RITE: Si se activa esta opción, se aplicarán las comprobaciones del RITE a la instalación de climatización por agua del capítulo según la versión de la normativa seleccionada en el menú Datos/Generales.../Capítulo del capítulo TK-Edificio.
Para el caso de instalaciones industriales en las que no sea de aplicación el RITE, se puede deshabilitar esta opción.
El usuario puede desactivar alguna de las posibles comprobaciones que se hacen del RITE; por ejemplo, establecer el Aislamiento mínimo reglamentario según el procedimiento simplificado del RITE.
Realizar comprobaciones de valores límite generales (velocidad, pérdidas...): Se comprueba los parámetros de diseño establecidos en el menú Datos/Generales.../Opciones de cálculo hidráulico de la velocidad y de la pérdida de carga lineal en aquellas tuberías en las que la opción de cálculo sea Valor general. Los mensajes son de advertencia cuando se incumplen algunas de las limitaciones y permiten finalizar los procesos de cálculo.
Aplicar las presiones de regulación de válvulas de equilibrado y control: Se trata de una nueva opción relacionada con las válvulas de equilibrado y control (excepto en las válvulas PICV/PICBV, que se aplica siempre) que aplica al intercambiador asociado sus pérdidas de presión para regulación (Kv) en los procesos de simulación de modo que las pérdidas para regulación en estos intercambiadores se anula o reduce.
Si la opción está desactivada, para el caso de válvulas de control no se aplica (como en versiones anteriores a la 1.8.00.8), por lo que el dato que aparece en el intercambiador es la pérdida total para que se equilibre al intercambiador de máximas pérdidas.

Si ahora se activa esta opción, esa pérdida que producen las válvulas de control se aplica en el cálculo y el resultado es que la regulación en los intercambiadores tiene que ser menor. La regulación no es total porque las válvulas actúan en escalones de Kv.
Dibujar flechas indicando la dirección del flujo de agua: Con esta opción activa, el programa dibuja en cada tubería una pequeña flecha que indica el sentido de circulación del agua.

Redimensionar símbolos paramétricos después del proceso de cálculo: Esta opción hace que los símbolos paramétricos (radiadores, calderas,...) se redibujen después del cálculo con las dimensiones reales (de la base de datos) de los equipos seleccionados. La utilización de esta opción permite obtener un aspecto más realista de la instalación.
Copyright © iMventa Ingenieros. Todos los derechos reservados.